近日,深圳大学物理与光电工程学院王健教授团队在物理学期刊《Physical Review Letters》发表了题为Intrinsic Gyrotropic Magnetic Current from Zeeman Quantum Geometry [Phys. Rev. Lett. 134, 116301 (2025)]的理论研究成果,提出了一种新的塞曼量子几何张量,并预言其可以在量子材料中诱导出新奇的旋磁电流效应。
量子几何是描述凝聚态物理中新奇物理现象的核心数学工具之一。量子几何张量的虚部贝里曲率与实部量子度规,能够诱导产生各种线性与非线性霍尔电流响应。例如,贝里曲率是内禀线性反常霍尔效应的微观起源,量子度规对应了内禀线性位移电流;量子几何的高阶量,如贝里曲率偶极矩和量子度规偶极矩,分别能够诱导外禀与内禀的二阶非线性霍尔效应。当前量子几何研究的一个重要方向是探索超越传统贝里曲率和量子度规的新型量子几何结构及其诱导的物理效应。
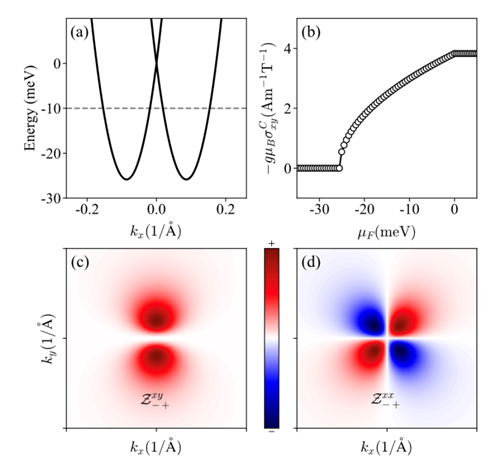
传统量子几何的定义仅考虑了晶格动量自由度。针对这一局限,王健教授团队将自旋自由度纳入量子几何的理论框架,首次提出了同时关联动量平移与自旋旋转的新型量子几何,即塞曼量子几何张量,其虚部对应塞曼贝里曲率,实部对应塞曼量子度规。进一步研究表明,当利用交变磁场调控材料中电子的自旋时,塞曼贝里曲率可以在自旋轨道耦合体系中诱导出内禀的旋磁电流响应。研究团队利用对称性分析证明该效应具有广泛的材料适用性,并结合具体模型计算进行了验证(图 1)。论文还讨论了内禀旋磁电流的实验探测方案,为观测塞曼 量子几何相关的新奇物理现象提供了可行路径。

图1:Rashba模型中塞曼几何诱导的旋磁电流响应
王健教授团队的向龙俊助理教授是论文的第一作者,中科大博士生贾进雄是共同第一作者,王健教授为通讯作者,许富明教授和中科大乔振华教授参与了研究工作。深圳大学是论文的第一单位和通讯单位。该工作得到了国家自然科学基金项目以及深圳市高端人才科研启动经费的支持。论文链接:https://journals.aps.org/prl/abstract/10.1103/PhysRevLett.134.116301。